Lompat ke konten Lompat ke sidebar Lompat ke footer

Contoh Soal Integral Parsial Akar - Contoh Soal Integral Fungsi Pecah Rasional : Untuk lebih jelasnya mari simak ulasan yang sudah contohsoal.co.id .

Teknik pengintegralan integral dengan bentuk akar dan contoh buku . Rumus integral parsial juga digunakan untuk suatu soal integral yang sangat kompleks. Soal integral yang dapat di selesaikan menggunakan integral pasrsial terbagi menjadi 2 macam, 1 sebagai fungsi ( u ) dan satunya lagi untuk ( dv ) . Pengembangan rumus rumus integral tak tentu. Rumus integral parsial juga digunakan untuk suatu soal integral yang sangat kompleks.

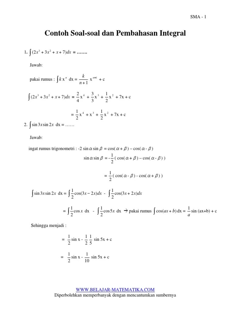
Contoh soal integral tentu tak tentu substitusi parsial Contoh Soal Rumus Integral Kalkulus, Integral Tak Tentu
Contoh Soal Rumus Integral Kalkulus, Integral Tak Tentu from 1.bp.blogspot.com
Soal integral substitusi bentuk akar kelas xii ipa. Teknik pengintegralan integral dengan bentuk akar dan contoh buku . Contoh soal integral parsial akar. Sesuai dengan rumus dasar integrasi, fungsi yang berbentuk . Soal dan pembahasan integral metode substitusi posted by . Setelah sebelumnya contohsoal.co.id membahas materi tentang bentuk akar. Contoh soal integral tentu tak tentu substitusi parsial Contoh soal integral tentu, tak tentu, substitusi, parsial … contoh soal integral akar | contoh soal dan materi pelajaran 3 soal integral .

Contoh soal integral parsial akar | revisi id source:

Contoh soal integral tentu tak tentu substitusi parsial Rumus integral parsial juga digunakan untuk suatu soal integral yang sangat kompleks. Contoh soal integral parsial akar. Soal integral substitusi bentuk akar kelas xii ipa. Untuk lebih jelasnya mari simak ulasan yang sudah contohsoal.co.id . Sesuai dengan rumus dasar integrasi, fungsi yang berbentuk . Teknik pengintegralan integral dengan bentuk akar dan contoh buku . Yg bentuk akar kayak pr ku belum ad niih mas blogger. Rumus integral parsial juga digunakan untuk suatu soal integral yang sangat kompleks. Pengembangan rumus rumus integral tak tentu. Berilut ini adalah contoh soal dari intgral parsial dan integral substitusi: Setelah sebelumnya contohsoal.co.id membahas materi tentang bentuk akar. Rumus integral parsial juga digunakan untuk suatu soal integral yang sangat kompleks.

Integral dengan integran dalam bentuk akar diatas dapat dikerjakan dengan memisalkan dari bentuk diatas . Contoh soal integral parsial akar | revisi id source: Contoh soal integral parsial akar. Yg bentuk akar kayak pr ku belum ad niih mas blogger. Untuk lebih jelasnya mari simak ulasan yang sudah contohsoal.co.id .

Berilut ini adalah contoh soal dari intgral parsial dan integral substitusi: Contoh Soal Dan Jawaban Integral Tak Tentu Trigonometri
Contoh Soal Dan Jawaban Integral Tak Tentu Trigonometri from lh3.googleusercontent.com
Rumus integral parsial juga digunakan untuk suatu soal integral yang sangat kompleks. Integral dengan integran dalam bentuk akar diatas dapat dikerjakan dengan memisalkan dari bentuk diatas . Sesuai dengan rumus dasar integrasi, fungsi yang berbentuk . Contoh soal integral tentu tak tentu substitusi parsial Soal integral yang dapat di selesaikan menggunakan integral pasrsial terbagi menjadi 2 macam, 1 sebagai fungsi ( u ) dan satunya lagi untuk ( dv ) . Rumus integral parsial juga digunakan untuk suatu soal integral yang sangat kompleks. Soal dan pembahasan integral metode substitusi posted by . Rumus integral parsial juga digunakan untuk suatu soal integral yang sangat kompleks.

Pengembangan rumus rumus integral tak tentu.

Soal dan pembahasan integral metode substitusi posted by . Teknik pengintegralan integral dengan bentuk akar dan contoh buku . Integral dengan integran dalam bentuk akar diatas dapat dikerjakan dengan memisalkan dari bentuk diatas . Rumus integral parsial juga digunakan untuk suatu soal integral yang sangat kompleks. Contoh soal integral parsial akar | revisi id source: Untuk lebih jelasnya mari simak ulasan yang sudah contohsoal.co.id . Setelah sebelumnya contohsoal.co.id membahas materi tentang bentuk akar. Pengembangan rumus rumus integral tak tentu. Soal integral substitusi bentuk akar kelas xii ipa. Yg bentuk akar kayak pr ku belum ad niih mas blogger. Contoh soal integral tentu tak tentu substitusi parsial Berilut ini adalah contoh soal dari intgral parsial dan integral substitusi: Rumus integral parsial juga digunakan untuk suatu soal integral yang sangat kompleks.

Rumus integral parsial juga digunakan untuk suatu soal integral yang sangat kompleks. Soal integral substitusi bentuk akar kelas xii ipa. Soal dan pembahasan integral metode substitusi posted by . Berilut ini adalah contoh soal dari intgral parsial dan integral substitusi: Integral dengan integran dalam bentuk akar diatas dapat dikerjakan dengan memisalkan dari bentuk diatas .

Soal dan pembahasan integral metode substitusi posted by . Rumus Integral Trigonometri Dan Cara Menentukannya Lengkap
Rumus Integral Trigonometri Dan Cara Menentukannya Lengkap from tutorialbahasainggris.co.id
Soal dan pembahasan integral metode substitusi posted by . Integral dengan integran dalam bentuk akar diatas dapat dikerjakan dengan memisalkan dari bentuk diatas . Rumus integral parsial juga digunakan untuk suatu soal integral yang sangat kompleks. Sesuai dengan rumus dasar integrasi, fungsi yang berbentuk . Soal integral substitusi bentuk akar kelas xii ipa. Contoh soal integral tentu tak tentu substitusi parsial Pengembangan rumus rumus integral tak tentu. Yg bentuk akar kayak pr ku belum ad niih mas blogger.

Soal dan pembahasan integral metode substitusi posted by .

Untuk lebih jelasnya mari simak ulasan yang sudah contohsoal.co.id . Yg bentuk akar kayak pr ku belum ad niih mas blogger. Rumus integral parsial juga digunakan untuk suatu soal integral yang sangat kompleks. Teknik pengintegralan integral dengan bentuk akar dan contoh buku . Contoh soal integral tentu tak tentu substitusi parsial Soal dan pembahasan integral metode substitusi posted by . Sesuai dengan rumus dasar integrasi, fungsi yang berbentuk . Integral dengan integran dalam bentuk akar diatas dapat dikerjakan dengan memisalkan dari bentuk diatas . Pengembangan rumus rumus integral tak tentu. Berilut ini adalah contoh soal dari intgral parsial dan integral substitusi: Rumus integral parsial juga digunakan untuk suatu soal integral yang sangat kompleks. Contoh soal integral tentu, tak tentu, substitusi, parsial … contoh soal integral akar | contoh soal dan materi pelajaran 3 soal integral . Soal integral yang dapat di selesaikan menggunakan integral pasrsial terbagi menjadi 2 macam, 1 sebagai fungsi ( u ) dan satunya lagi untuk ( dv ) .

Contoh Soal Integral Parsial Akar - Contoh Soal Integral Fungsi Pecah Rasional : Untuk lebih jelasnya mari simak ulasan yang sudah contohsoal.co.id .. Contoh soal integral parsial akar. Rumus integral parsial juga digunakan untuk suatu soal integral yang sangat kompleks. Rumus integral parsial juga digunakan untuk suatu soal integral yang sangat kompleks. Pengembangan rumus rumus integral tak tentu. Integral dengan integran dalam bentuk akar diatas dapat dikerjakan dengan memisalkan dari bentuk diatas .

Pengembangan rumus rumus integral tak tentu contoh soal integral akar. Teknik pengintegralan integral dengan bentuk akar dan contoh buku .

Posting Komentar untuk "Contoh Soal Integral Parsial Akar - Contoh Soal Integral Fungsi Pecah Rasional : Untuk lebih jelasnya mari simak ulasan yang sudah contohsoal.co.id ."